4 ejercicios

 


8-6*7/4+4*3

3+4/6*6+5/2+1



(6+4/5*3)+(8+5-6*3)

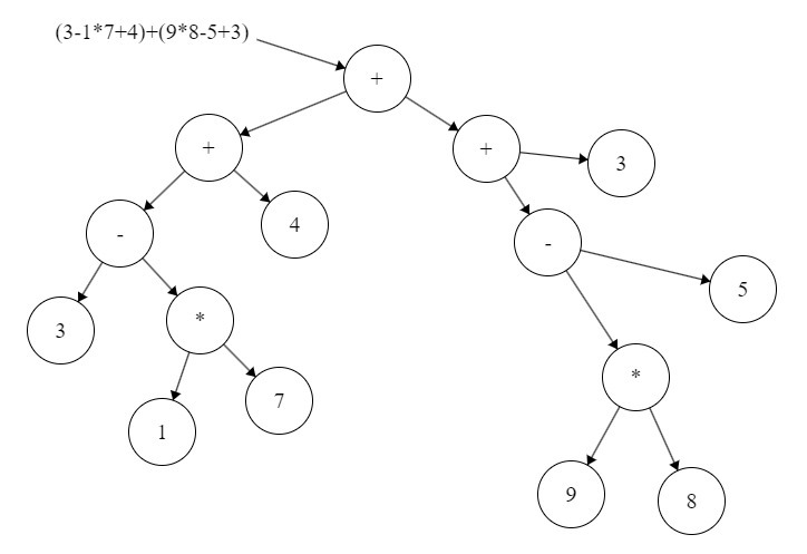
(3-1*7+4)+(9*8-5+3)

Comentarios

Entradas más populares de este blog

1.3.- COMPROBACIONES DE TIPOS EN EXPRESIONES

Arboles de expresiones